This is the first in a series of posts on visualizing groups via their lattice of subgroups.

Displaying the Lattice of Subgroups
One way of getting a better understanding of a group is by considering its subgroups. The lattice of subgroups (more precisely, the Hasse diagram of this lattice) gives us a way to visualize how these subgroups relate to each other and to their parent group. Here’s how to do it in Sage:
(The Sage cells in this post are linked, so things may not work if you don’t execute them in order.)
By default, the vertex labels of the Hasse diagram will be the description of the object that the vertex represents. In our case, something like Subgroup of (Dihedral group of order 8 as a permutation group) generated by [(1,2)(3,4)], which would be way too long to display nicely. Because of this, in the above code, I’ve decided not to label the vertices. I’ve also chosen to make the vertices hexagonal and white.
Relabelling vertices
Without labels, it can be hard to tell what subgroups we’re looking at. We can define new labels for these vertices by defining a dictionary where the keys are the original vertices and their corresponding values are our new labels.
Labelling by generators
One way to tell what the subgroups are is to look at their generators:
This isn’t very pretty, and just knowing the generators doesn’t give us much intuition about the group.
Labelling by cardinalities
Alternatively, we could label the subgroups by their cardinalities:
If you ran the preceding code, you probably encountered an error message. This is because Sage currently requires that vertex labels be injective i.e. distinct vertices must have distinct labels. There’s a quick but slightly ugly fix for this: just pad spaces around the labels to make them all unique:
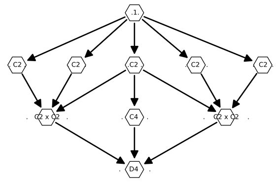
Labelling by structure description
However, cardinalities still don’t tell me very much about the subgroup. Fortunately, Sage has a method for describing the structure of a small group: H.structure_description() where H is the group in question.
Unfortunately, this method requires the GAP group database, which is not installed with the Sagecell version of Sage. However, the free SageMathCloud service’s installation of Sage does have the group database installed, so you can try the following code there. This code was used to produce the image at the start of this post:
More examples
Try playing around with different groups and different labelling methods!
And here are some questions that might arise while playing around with subgroup lattices:
- In the code, I’ve technically only defined the poset of subgroups. However, it turns out the poset of subgroups is also always a lattice. Why?
- When is the subgroup lattice also distributive?
- When is the subgroup lattice a chain?
In the next post, we’ll add some color to the subgroup of lattices by coloring the subgroups according to properties they have.